Articles in this Volume

Research Article Open Access
Research on the Proof and Application of the Orbit-Stabilizer Theorem
Group theory is a very important concept in mathematics with many interesting theories that have been widely applied in other areas of mathematics. As one of the fundamental tools in abstract algebra, it provides a unifying language for studying symmetries, structures, and transformations, making it central to both theoretical and applied mathematics. This paper proves the orbit stability theorem based on the theory of group actions. Then, this paper introduces the application of the orbit stabilizer in other parts of mathematics and its full proof. Among these theorems, compared with other proof methods, the orbit stabilizer theorem is more concise and easier to understand. These examples show the wide application of the orbit stability theorem in mathematics, proving its practicality. Furthermore, the theorem serves as a foundation for exploring topics such as combinatorics, number theory, and geometry, where orbit-stabilizer arguments simplify otherwise complex counting and classification problems. In this way, the study highlights how group theory not only develops its own framework but also contributes essential insights to broader mathematical investigations.
Show more
Read Article PDF
Cite
Research Article Open Access
Application of Elliptic Curve Cryptography in the Security Field of Resource-constrained Internet of Things
The rapid expansion of the Internet of Things (IoT) and connected objects has revealed significant security vulnerabilities in secure data transmission, device authentication, and privacy protection, especially in resource-constrained environments. This paper provides an in-depth look at the application of elliptic curve cryptography (ECC) as a critical cryptographic solution to address these challenges. The paper explores the mathematical foundations underlying ECC, including the fundamental concepts of elliptic curves and the elliptic curve discrete logarithm problem. The paper also discusses the practical application of ECC to IoT security, focusing on robust device authentication, secure data transmission and storage, and improved privacy protection mechanisms. This analysis highlights the inherent benefits of ECC, such as high security thanks to short keys, high computational performance, and reduced communication overhead, while also addressing challenges such as implementation complexity and standardization. Finally, this paper provides insights into selecting the appropriate ECC for various IoT scenarios and discusses future research directions, including the integration of quantum-safe cryptography.
Show more
Read Article PDF
Cite
Research Article Open Access
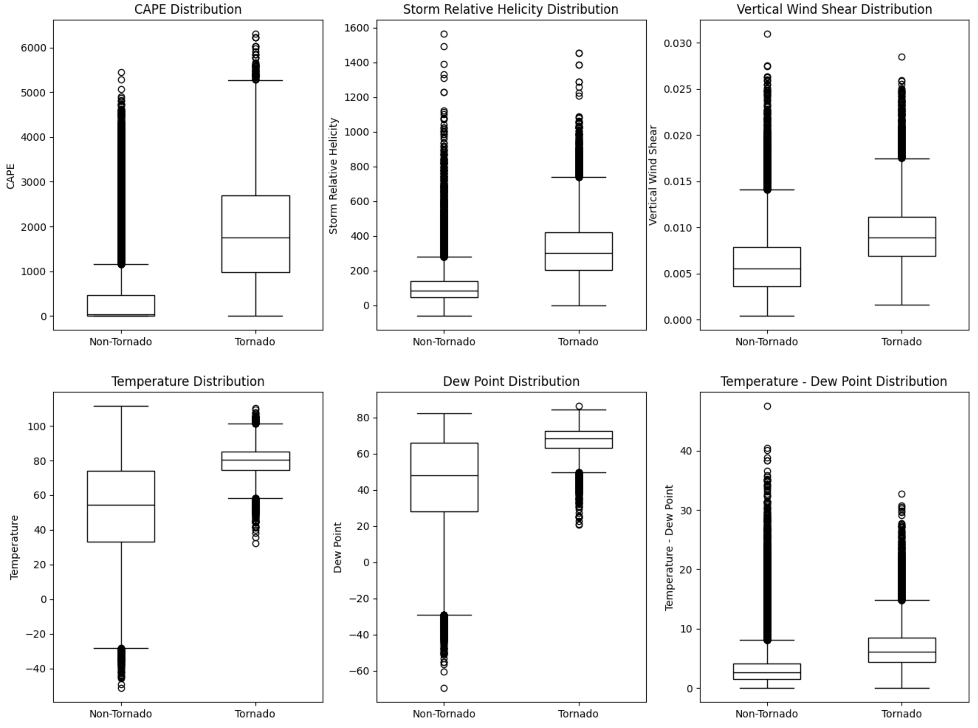
Analyzing Tornado Genesis Through Multivariate Statistical Modeling of Meteorological Data
Article thumbnail
Tornado forecasting is challenging because the atmosphere involves complex, non-linear interactions among multiple parameters. This study examines tornado records from 2005 to 2023 alongside reanalysis data to identify key parameters of tornado formation and intensity. The analysis focuses on Convective Available Potential Energy (CAPE), Surface Temperature (T), Storm Relative Helicity (SRH), Vertical Wind Shear (VWS), and a derived Dew Point Depression (T–Td) variable. Results demonstrate that tornado events typically occur in environments with higher CAPE, SRH, and VWS, combined with evaluated T and T-Td that indicate greater low-level moisture. Stronger tornadoes were most closely associated with elevated CAPE and SRH. Bayesian logistic regression confirmed that SRH and CAPE were the strongest parameters, with T, VWS, and T-Td providing smaller but consistent contributions. Logistic Regression, Random Forest, and Support Vector Machine models were tested, with Random Forest achieving the best balance of recall and precision due to its ability to capture non-linear relationships. These findings suggest that multivariate, non-linear models offer a more robust framework for enhancing tornado prediction.
Show more
Read Article PDF
Cite
Research Article Open Access
Encryption Algorithms: Architecture, Sector - Specific Deployment, and Implementation Challenges
Digital trust has a cornerstone, which is encryption. Encryption supports secure communications, financial stability, healthcare privacy, and national defense. This paper does a structured analysis. It analyzes symmetric, asymmetric, and elliptic-curve cryptography. Also, it looks at emerging paradigms like homomorphic and post - quantum encryption. The paper shows how these algorithms get implemented. They are implemented across different sectors. In finance, it's for mobile payments and central bank digital currencies. In healthcare, it's for electronic health records and telemedicine. In internet communications, it is for QUIC-based secure transport. In defense, it's for AES-256-protected tactical systems. By connecting cryptographic principles with case studies specific to each sector, the study highlights two things. It shows the achievements of real-world deployment. It also points out the shortcomings. There are some challenges that get special consideration. For example, there's lifecycle key management. IoT and embedded devices have performance limitations. Human error can cause vulnerabilities. There are legal and regulatory conflicts, like GDPR against the CLOUD Act. There is an urgent need for post-quantum readiness. The findings confirm something. Encryption is not just a technical safeguard. It is also a socio-technical infrastructure. The study comes to a conclusion. The development of encryption technologies is very crucial. Lightweight and quantum-resistant solutions, especially, will help shape the next -generation secure digital infrastructures.
Show more
Read Article PDF
Cite
Research Article Open Access
Modified Kruskal’s Algorithm with Euclidean Steiner Tree in Electricity Grid
Article thumbnail
Designing electricity supply network is a classic topic in graph theory, it could be considered as network problem of optimizing supplies and demands. However, electricity network could also be solved in a way of optimizing building costs. This paper discussed a modified Kruskal’s algorithm of finding electricity network on given vertices with different types of costs: internal grid cost, external grid cost, decentralized system cost, power station cost. The paper also introduces how the Euclidean Steiner Tree works when we worry about the geographical features of network might change the topology of designing. We compared the modified Kruskal’s algorithm and modified Kruskal algorithm with Euclidean Steiner Tree and eventually demonstrate the modified Kruskal’s algorithm with Euclidean Steiner Tree will reduce the total cost by lowering power station costs despite increasing external grid costs for some cases.
Show more
Read Article PDF
Cite
Research Article Open Access
From GPT to LLaMA: Tracing the Growth of Large Language Models
Article thumbnail
Large Language Models (LLMs) have transformed natural language processing by scaling model parameters to unprecedented levels. This review traces the historical progression of LLM parameter sizes, from early pre-trained models with millions of parameters to today’s multi-billion and even trillion-parameter systems. We examine key breakthroughs in scaling (e.g., the GPT series, PaLM, LLaMA), highlighting how increasing model size has led to emergent capabilities in language understanding and generation. We also discuss the engineering innovations, such as Transformer architectures and mixture-of-experts, that enabled these leaps in scale. A comparative analysis is provided, including a table and trend figure, to illustrate growth in parameter counts over time and across model families. We further explore the implications of model size on performance, emergent behaviors, and computational cost, noting scaling laws and diminishing returns. Finally, we discuss future directions, arguing that while scaling has driven progress, challenges in efficiency, alignment, and data quality will shape the next phase of LLM development.
Show more
Read Article PDF
Cite
Research Article Open Access
A Review on Microchannel Heat Sink Focusing on Architecture Design for Improvement of Thermal Resistance and Pumping Power
Article thumbnail
Microchannel heat sinks (MCHS) are pivotal for thermal management in high-heat-flux electronics. However, conventional straight parallel microchannels suffer from inherent limitations including thermal boundary layer development, flow maldistribution, and substantial pressure drop. This review systematically explores and categorizes advanced design strategies to overcome these challenges. Five key modification approaches are critically examined: non-uniform cross-sectional designs, wavy or sinusoidal channels, double-layered/multi-layered counter-flow configurations, integration of porous structures, and bio-inspired architectures. Each design is evaluated based on its impact on the core performance metrics: thermal resistance, pressure drop, and temperature uniformity. The analysis reveals that while most innovations effectively enhance heat transfer efficiency, they often involve a trade-off with increased hydraulic resistance. Furthermore, hybrid designs that synergistically combine multiple strategies, such as wavy channels with porous ribs, emerge as a promising direction for achieving comprehensive performance optimization. This review provides a structured framework for understanding the evolution of MCHS designs and highlights future trends for developing next-generation high-efficiency cooling devices.
Show more
Read Article PDF
Cite
Research Article Open Access
The Impact of Soccer Performance Metrics on Win/Loss Ratio in the English Premier League (2018-19 to 2024-25 Seasons)
Article thumbnail
This study examined passing accuracy communication and defensive statistics on win percentage in English Premier League (EPL) for the seasons 2018-19 to 2024-25 using 140 team-season data sets. Primary variables studied are Defensive Block Tackle Percentage (DB), Short Passing Completion (PS), Medium Passing Completion (PM), Long Passing Completion (PL), Expected Passing Completion (PE), and Win Percentage (WinPCT). Consistently, therefore, a medium-level positive relationship was confirmed between medium-range and anticipated passing accuracy and percentage win, although the defensive block tackle showed no noteworthy relationship. According to the results of the regression analyses, medium passing completion and anticipated passing completion have strong positive effects; therefore, the quality of midfield command and passing effectiveness are better predictors to investigate the success. In this scenario, individual defensive play and the long-ball approach are suboptimal. On the one hand, those with a balanced offense occasionally dazzle with their passing and coordination, which outwitted the possession-first teams; on the other hand, this demonstrates the value of flexibility in tactics. These teachings provide trainers and analysts with information in a way that they can aid passing efficiency and defensive solidity to achieve a better outcome in matches played with high competitiveness.
Show more
Read Article PDF
Cite
Research Article Open Access
Vibration Analysis and Control Technology in Mechanical Engineering
Vibration analysis and control have always been regarded as crucial in engineering practice, as they directly affect the safety of structures, the efficiency of systems, and the stability of operations. This article provides an overall review of three aspects, namely the theoretical basis of vibration analysis, the development of control methods, and its application in engineering. Through the research and analysis of the research progress in recent years, this study highlights the role of vibration technology in various aspects of society, including civil infrastructure, aerospace systems, and mechanical manufacturing, among others. In addition, this paper also analyzes the main challenges currently faced in this field, including the complexity of the modeling process, the uncertainty of the research environment, and the need for real-time adaptability. The method adopted in this article is based on comparative and analytical literature, drawing on both classic research and emerging trend studies. Finally, the research results show that combining advanced sensing technology with intelligent control technology can, to a certain extent, improve the accuracy and reliability of vibration management in complex environments. This review paper is expected to provide guidance for future research directions and practical engineering applications.
Show more
Read Article PDF
Cite
Research Article Open Access
Graph Neural Networks for Urban Traffic Flow Forecasting: A Comprehensive Review and Future Perspectives
Article thumbnail
Traffic flow prediction is an essential part of intelligent transportation systems (ITS), facilitating dynamic traffic control, congestion alleviation, and route planning. The past few years have seen the booming of Graph Neural Networks (GNNs), providing a strong tool to capture the sophisticated spatial compositions and dynamic temporal patterns inherent in urban road networks. In this paper, I provide a systematic and comprehensive review of GNN-based solutions for short-term traffic prediction. I first briefly review the basic concepts and categorization of GNNs, then elaborate on representative models such as spatial and spectral convolutional networks, temporal graph structures, and hybrid models with attention mechanisms and recurrent units. Besides, I recap typical traffic datasets and evaluation metrics, compare the performance of different models from multiple aspects, and highlight key technical challenges such as spatiotemporal heterogeneity, scalability, and interpretability. Finally, I suggest future research lines to improve the accuracy, efficiency, and robustness of GNN-based traffic prediction models for real-world ITS applications.
Show more
Read Article PDF
Cite