Articles in this Volume

Research Article Open Access
A historical analysis of the independent development of calculus by Newton and Leibniz
This paper undertakes a historical investigation of the separate and independent development of calculus by Isaac Newton and Gottfried Leibniz in the late 17th century. Through analysis of primary sources and historiographical perspectives, it explores the differences in notation, methods, and applications used by each mathematician to formulate foundational concepts of calculus. The research demonstrates that Newton relied more on geometric intuition, developing calculus concepts like fluxions and fluents rooted in kinematic problems. His 1687 Philosophiae Naturalis Principia Mathematica synthesized many calculus innovations. Meanwhile, Leibniz approached calculus from an algebraic mindset, utilizing infinitesimal differentials and comprehensively explaining integral and differential calculus in publications like Nova Methodus pro Maximis et Minimis. Evaluation of letters and documents from the 1670s and 1680s shows no direct collaboration or communication about calculus between Newton and Leibniz. This lack of transmission, coupled with the disparities in their notation and calculus techniques, provides evidence for independent creation. However, Newton and Leibniz shared key insights regarding rates of change, derivatives and integrals, hinting at a broader zeitgeist in early modern mathematics and science. Thus, this dual achievement illustrates how the Scientific Revolution facilitated conceptual convergence despite geographic separation between great thinkers. Investigating this case study offers perspective on the interplay between individual genius and wider social contexts in driving scientific progress. This paper concludes by assessing the legacy of the Newton-Leibniz debate over priority and analyzing work that paved the way for modern unified calculus notation and applications.
Show more
Read Article PDF
Cite
Research Article Open Access
Exploring the cosmic nexus: Black holes, gravitational waves, and the dance of the universe
In the vast cosmos, the enigmatic interplay of black holes and gravitational waves unfolds as a mesmerizing narrative, offering profound insights into the universe’s deepest mysteries. This paper delves into the intricate relationship between these cosmic phenomena, exploring their formation, properties, and their transformative implications in the realm of astrophysics. As colossal black holes merge, they generate gravitational waves that carry signatures of their masses, spins, and orientations. These waves, harnessed through advanced detectors like LIGO and Virgo, present a new dimension of cosmic exploration, unveiling the intricate dynamics of the universe’s most energetic events. Through the lens of gravitational wave astronomy, the author embarks on a journey to decipher gravity’s elegant dance with spacetime, testing the fundamental principles of general relativity and pushing the boundaries of people’s understanding. This paper weaves an intricate tapestry from the cosmic threads of black holes and gravitational waves, inviting people to unravel the universe’s most profound enigmas and redefine people’s cosmic narrative.
Show more
Read Article PDF
Cite
Research Article Open Access
Research of Stirling engine’s applications in vehicle, electricity, heating and cooling
Natural resources are becoming more and more scarce while pollution continues to increase. It is imperative to reduce emissions and improve energy efficiency. As an efficient, low-emission machine, the Stirling engine may be an answer on the road to emission reduction and improved efficiency. Stirling engine has been used in some areas, such as nuclear-powered submarine engines, combined heat and power and Stirling cryocoolers. However, there are still several problems that cannot be ignored in Sterling generators themselves. Stirling generators, characterized by high efficiency and potential for reducing greenhouse gas emissions, face challenges, including high material and assembly costs, complex waste heat treatment processes, and the need for durable, high-temperature resistant materials. Despite current limitations, ongoing research aims to enhance conversion efficiency, minimize size, and lower manufacturing costs, with promising applications in various sectors, including transportation and household energy, representing a significant stride towards green energy power generation in the future.
Show more
Read Article PDF
Cite
Research Article Open Access
Low noise, analog electrocardiogram signal amplifier for wearable equipment
Article thumbnail
Due to the rapid development of semiconductor technology, the edges of electronic devices are getting smaller and the power consumption is getting lower and lower 3-op-amp instrumentation amplifier. However, there are still some problems such as excessive power consumption and noise. First, the disadvantages are identified, and then the shortcomings of the specialty are improved. So this design gives a low noise ECG equipment, which shows great performance in reducing noise to 3.94uV and the highest differential gain reaches 36.508376dB. It can be used in watches and other wearable devices for ECG signal detection. At the same time, this project can complete the required requirements and is suitable for some wearable devices. Its successful research could lead to more accurate ECG monitoring and consume less power in wearable devices. More importantly, its emergence brings new development ideas and development directions to ECG equipment, making ECG monitoring convenient and mobile.
Show more
Read Article PDF
Cite
Research Article Open Access
Beyond the finite: An exploration of infinite-dimensional vector spaces
Article thumbnail
In this paper, we delve deeply into the intricacies of linear algebra, with a focus on the progression from finite to infinite-dimensional vector spaces. Starting with the foundational concepts, we define vectors, vector spaces, linear combinations, and basis. The importance of infinite-dimensional vector spaces is emphasized, particularly their role in better understanding and modeling complex mathematical phenomena. Through well-illustrated examples, we guide the reader on how to validate if a given set can be classified as a vector space. Additionally, the methodology to identify bases for these vast spaces is discussed in detail. Reduction methods also play an important role in determining bases for infinite-dimensional spaces. In our conclusion, we reflect on the evolution from basic vector concepts to the more nuanced understanding of infinite dimensions. This progression not only deepens our understanding of vectors but also sets the stage for advanced investigations into linear relationships and transformations. By bridging the gap between elementary vector knowledge and advanced infinite-dimensional spaces, this paper makes a notable contribution to the ever-evolving field of linear algebra, serving as a valuable resource for both students and practitioners.
Show more
Read Article PDF
Cite
Research Article Open Access
The research of analysis lung, bronchus and trachea cancer death rate in US
Article thumbnail
This research delves into an analysis of lung, bronchus, and trachea cancer rates in the United States across genders. Employing the data spanning seven decades (1950-2020) sourced from the Our World in Data website, the study leverages time series modeling techniques, ARIMA and ETS models. The ARIMA methodology initiates with an assessment of data stationarity, followed by differencing procedures to transform the dataset into a non-stationary data. Subsequently, Autocorrelation Function (ACF) and Partial Autocorrelation Function (PACF) plots are examined. Last, the ARIMA model is fitted to dissect the mortality rates among males and females. Simultaneously, the ETS model is directly applied to the mortality data of both genders. The components of the ETS model and the check residuals for ETS are delineated. The outcomes reveal the trends: both genders exhibit a discernible decline in lung, bronchus, and trachea cancer death rates over the period. Despite this downward trajectory, the persistent mortality rates underscore the gravity of the issue. This paper advocates for a heightened focus on lung-related cancers. Understanding and addressing these mortality rates are imperative.
Show more
Read Article PDF
Cite
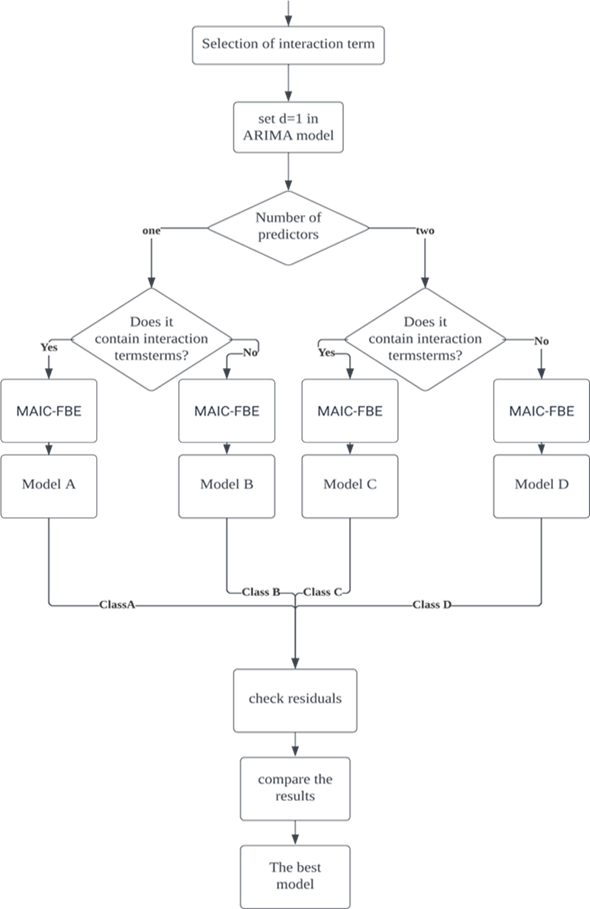
Research Article Open Access
Application of dynamic models in forecasting the total population of the United States
Article thumbnail
Dynamic models have been widely cited in predicting criminal population, residential electricity consumption, food prices and other objects. However, for total population predictions, dynamic models are rarely used. In this study, we will analyse the relationship between 13 variables such as CPI, grain prices, and medical expenditures and the total population of the United States, then combine it with the ARIMA model to generate a time series dynamic regression model. The conclusion is that, according to the parameters of the final model, two predictors (CPI and the number of crimes) and one interaction term (the product of the poverty rate and unemployment rate) are significantly related to changes in the population. Ultimately, the model performed well on the test set and was remarkably accurate for population prediction five years later. This report screens various factors influencing the total population and provides a broader background for applying dynamic models. In addition, this study also provides directions for subsequent research on more efficient dynamic models.
Show more
Read Article PDF
Cite
Research Article Open Access
Statistical forecasting of U.S. and Central African Republic net migration
Article thumbnail
Immigration is a very important link in the current international society. This paper will study and predict the net immigration of the United States and the Central African Republic through two different models- drift model and ARIMA model, and to further explore the trends and influencing factors of migration between these countries. The results show that from 1960 to 2021, net migration from the United States and the Central African Republic showed very different trends. The United States, as a developed country, attracts a large number of immigrants from all over the world, while the Central African Republic, as a developing country, the flow of immigrants is mainly affected by economic, political and social factors in the region. Therefore, it can be seen that developing countries and developed countries have different impacts on the number of immigrants. This study provides a basis for further understanding of population migration and net migration of United States and Central African Republic.
Show more
Read Article PDF
Cite
Research Article Open Access
Research on the application of mathematical modeling in tumor immunology in the context of chemotherapy
Article thumbnail
Cancer is not only a highly detrimental disease but also a particularly grave health concern. Moreover, the current incidence and mortality rates in our country are far from encouraging, making the prevention and control situation very challenging. Therefore, identifying the most scientific and effective treatment methods has become one of our primary research focuses. This paper, building upon previous models and incorporating resistance factors, categorizes tumor cells into those that are sensitive to chemotherapy drugs and those that become resistant. Using MATLAB, we have adjusted various sensitivity parameters in the model to simulate the number of tumor cells over 40 days. This simulation aims to analyze the sensitivity levels of tumor cells to different parameters upon the inclusion of resistance factors. The initial data used for the simulation were derived from the original paper. Ultimately, our findings indicate that tumor cells are most sensitive to the chemotherapy drug’s killing rate for normal tumor cells and the decay rate of the chemotherapy drug. Due to the drug resistance factor, the sensitivity of different parameters is influenced. For parameters related to chemotherapy drugs, the final results, when incorporating this factor, may deviate significantly from those of previous models without this factor. For instance, the decay rate of chemotherapy drugs might result in a larger total number of tumor cells or a steeper trend compared to previous findings.
Show more
Read Article PDF
Cite
Research Article Open Access
The comprehensive analysis of Google’s stock using ARIMA model
Article thumbnail
Predicting stock prices has long been a subject of keen interest due to its financial implications and inherent complexity. The examination of existing literature suggests the need for a focused study encompassing a diverse spectrum of stocks within a specific sector. In this research, the author evaluates the efficacy of the AutoRegressive Integrated Moving Average (ARIMA) model in forecasting Google’s stock performance. The data used in this paper comes from the Chinese corn market price of 2018 to October 2023. The selection of the ARIMA model is based on its widespread acceptance and straightforward nature. This paper also explores how the accuracy of predictions is influenced by various historical data points. Simultaneously, the projections indicate that Google’s stock is poised for continued growth in the upcoming weeks. This investigation aims to provide valuable insights into the stock market’s behaviour, particularly within the context of Google, by leveraging the ARIMA model’s capabilities.
Show more
Read Article PDF
Cite