Articles in this Volume

Research Article Open Access
Deciphering dark matter: A computational analysis of stellar velocity distributions
Article thumbnail
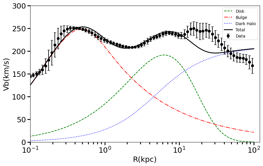
This study examines the dark matter density in the Galaxy by fitting recent data on stellar rotational velocities. We employ a model including the disk, the bulge, and the dark matter halo. The disk’s density is parameterized using a modified Bessel function, and the bulge is modeled using both the De Vaucouleurs and Exponential Sphere functions to better fit large and small radii respectively. The dark halo is modeled using the generalized Navarro-Frenk-White profile, with slope parameters for standard NFW and Moore profiles, and an Isothermal profile for comparison. The fit of the model parameters is established using local Dark Matter density and total Dark Matter mass as boundary conditions, with circular velocities derived via a Newtonian approach. The least chi-square (χ 2 ) method is used for rotation curve fitting. Results demonstrate successful fitting of rotational velocity data and significant influence of the DH at large radial distances from the Galactic center.
Show more
Read Article PDF
Cite
Research Article Open Access
Evaluation of feasibility of commercial supersonic flight based on aeroacoustics
Article thumbnail
The drive to attain ever higher speeds, to be able to travel ever faster fuels the research and development for a commercial supersonic aircraft. This has previously led to the Concorde which travelled at more than twice the speed of sound. Now, in addition to business considerations about economic viability, supersonic aircraft must be quieter and emit less emissions. Considering the 20 years that have elapsed since Concorde’s retirement, this study aims to reevaluate the current challenges and limitations to achieving commercial supersonic flight again, in the context of noise. Identifying sonic booms and jet exhaust noise as two main challenges, it reviews current shape optimization methods, plasma as a sonic boom mitigator, sonic boom circumvention, chevron nozzles, variable cycle engines, engine positioning, and their corresponding limitations. Some of the methods have been refined for use and application in final stage design and manufacture of certain supersonic aircraft which indicates a certain feasibility.
Show more
Read Article PDF
Cite
Research Article Open Access
Factoring primes and sums of two squares
Mathematicians began to study a series of properties about numbers a long time ago, and a new field of mathematics, the number theory, was born from this. Some special properties of numbers in the number theory make mathematicians use the knowledge of group theory to make some ingenious answers when considering some problems. In the analytic number theory, equations related to numbers have always been a concern of mathematicians. The most famous Fermat's last theorem also brought long-term troubles to countless mathematicians and was finally proved by the British mathematician Wiles. Many famous theorems also prove that some problems in the number theory can be solved by thinking in relation to other algebraic knowledge. This paper focuses on the factoring primes and constructs prime ideals of lying above a prim from irreducible factors of . The paper also shows that these are all prime ideals lying above . Based on these theorems and definitions, as a simple application of the theory, this paper first considers which primes can be written as sums of two squares, then the second part of this paper gives the answer: is a sum of two squares if and only if .
Show more
Read Article PDF
Cite
Research Article Open Access
Nanorobots simulation by using an amplified cell model with motor
Article thumbnail
Nanotechnology is the future research area that could benefit human beings in many different directions. In order to build that technology for the human beings, it is necessary to do some research on the simulators to find out some important mechanical properties of these robots in the environment they are in, in other word, low Reynolds environments. To check the availability of the cell model, it is necessary to construct it by using MATLAB and SOLIDWORKS. After construction, the testing process would show that behavior difference of the model in relative high Reynolds environments and low Reynolds environments. The cell simulator would provide a faster swirling speed but a slower velocity in high viscosity solutions than in low viscosity solutions. That would be contradictory to the theory of the Reynolds number which potentially indicate a failure in the experiment. Thus, the macroscopic simulation model might not provide an accurate result for future nanorobotics.
Show more
Read Article PDF
Cite
Research Article Open Access
The application of biostatistics in COVID-19 epidemic
Article thumbnail
Between the years 2020 and 2022, the COVID-19 pandemic is anticipated to emerge as the most severe global epidemic. The objective of this study is to examine the utilization of biostatistics in the domains of medication development, analysis of epidemic trends, and survival model analysis within the context of the COVID-19 pandemic. Through the utilization of a literature review method, this research delved into the examination of prospective therapeutic interventions employed in the realm of drug development studies. Specifically, the paper explored the efficacy and potential of camostat mesylate and remdesivir, alongside the exploration of immunotherapeutic strategies. Furthermore, the study examines the use of mathematical modeling in forecasting the trajectory of epidemic dissemination, and the significance of survival model analysis in comprehending patient longevity. The study revealed that medication development and immunotherapy play a crucial role in effectively combating novel coronavirus pneumonia. Furthermore, the utilization of mathematical modeling can provide valuable insights into forecasting the propagation of the epidemic. Additionally, survival model analysis can offer guidance in the allocation of medical resources and aid in decision-making processes. The findings of this research will contribute to a deeper comprehension and more effective mitigation of worldwide public health issues, such as the ongoing COVID-19 pandemic.
Show more
Read Article PDF
Cite
Research Article Open Access
Principle and application of random walk simulation: Multilayer networks, predation and stock market
Article thumbnail
Given the probabilities (which remain unchanged at each step) of travelling a certain distance in a certain direction, a random walk is a method used in probability theory to determine the likely position of a point depending on random movements. Markov processes, in which future behavior is independent of previous behavior, include random walks as an illustration. This study will mainly pay attention to three different applications of random walks in aspects of multilayer networks, predation and stock market. A real and intricate network could be solved by a mathematical equation depending on a random walk model. There are totally four different types of random walks that properly represent the motion of an animal searching for preys. Among these four types, CCRW is the best explanation for the route of a predator. Nevertheless, by analyzing the panel unit root tests, random walks fail to simulation the variability of share prices. This study promotes scholars to come up with an idea of the principle and application of random walks, and therefore realize the significance of such simulations.
Show more
Read Article PDF
Cite
Research Article Open Access
Study on development of aircraft design theory
Article thumbnail
Nowadays, the aircraft has become a very important part of human life. The invention of the aircraft is a shining point in human civilization. During the development of aircraft, there have been significant changes in aircraft’s appearance, power systems, design theories, and applications. In order to provide a clearer understanding of the development process of aircraft and lay the groundwork for future development of the aircraft, this article reviews the three important stages in the development of aircraft and elaborates on the development of aircraft from the perspectives of structural changes, theoretical updates, and applications. While introducing the development process, this article emphasizes the difficulties at each stage and the measures to solve them. In a hundred years of development, human beings have evolved from relying solely on the experience and imitation of birds in the early stages to developing and applying aerodynamics and then combining theory and practice to design.
Show more
Read Article PDF
Cite
Research Article Open Access
A review of upper-limb soft exosuit
Article thumbnail
A rigid exoskeleton has been developed for decades, and its feasibility has been proven in many areas, such as rehabilitation. Unlike the rigid exoskeleton, the soft exosuit provides a new insight for wearable robotics development and has drawn much attention as the external muscles instead of exoskeletons, especially for supporting users’ activities of daily living (ADL) and human body augmentation. This paper reviews the upper-limb soft exosuit studies in the last three years, including the core technologies and the current challenges that need to be addressed. Then, the actuator designs were described, including motor-tendon unit, pneumatic artificial muscle, hydraulic artificial muscle, and textile-based actuation. Their advantages and disadvantages were given and the applications were listed. Also, as the other part of core technologies described in this paper, the controller design which contains low-level and high-level control was discussed. Finally, the challenges were listed, which could be the further directions of research.
Show more
Read Article PDF
Cite
Research Article Open Access
Exploring black hole-neutron star binary merger by detecting gravitational waves
Article thumbnail
Unlike black hole binary merger, the merger between a neutron star and a black hole will produce an abundant number of gravitational waves and electromagnetic waves. Using this information, scientists can easily find many properties of the universe and test the general relativity and some other gravitational theories. The detection of the gravitational wave from source is essential to develop the current knowledge of the gravitational force. From last century, scientists were trying to detect the gravitational waves, and as the time passes, the method of detection has already developed from on land detector to space detector in order to take more precise readings. This paper provides some basic information of the neutron star and the black hole, together with the formation of the binary neutron star-black hole system. The relationship between the neutron star and black hole is explained in this paper. The knowledge of the current methods of detecting gravitational waves is also provided and the paper specifically elaborated the space laser interferometry.
Show more
Read Article PDF
Cite
Research Article Open Access
Prophetic detection and discovery of gravitational waves
Article thumbnail
Einstein's general relativity theory includes the gravitational wave as a key prediction. One of the most crucial areas of contemporary physics is gravitational wave detection. A fantastic addition to conventional electromagnetic radiation astronomy, gravitational wave astronomy is a brand-new field of study based on the discovery of gravitational waves. In this paper, the prediction and characteristics of gravitational waves are discussed, and the detection methods of gravitational waves are given, such as the limitations of the resonant rod of gravitational waves, the working principle and basic structure of the gravitational wave probe, the laser interferometer. The gravitational wave signal of the binary black hole merger detected by the LIGO laser interferometer gravitational wave detector in the United States for the first time on September 14, 2015, which opens a new "gravitational wave window" for human astronomy research. It is foreseeable that in the near future gravitational wave research will explore the unknown information of the universe from various gravitational wave frequency bands.
Show more
Read Article PDF
Cite